2026年国际足联世界杯(第23届国际足联世界杯)- 官方网站
首页
关于我们
2026年国际足联世界杯简介
公司领导
办事指南
组织机构
人才队伍
杰出员工
科学研究
研究方向
学术平台
科研成果
本科教学
专业介绍
教学资源
教学名师
学科竞赛
公司产品
招生学科
导师主页
学术交流
公司产品成果
人才培养
本科生
研究生
创新创业
国际交流
党建工作
组织架构
党建动态
学习园地
常用下载
通知公告
就业招聘
下载专区
English
党建工作
组织架构
组织架构
人员信息
党建动态
学习园地
常用下载
当前位置:
首页
>
党建工作
>
组织架构
>
人员信息
人员信息
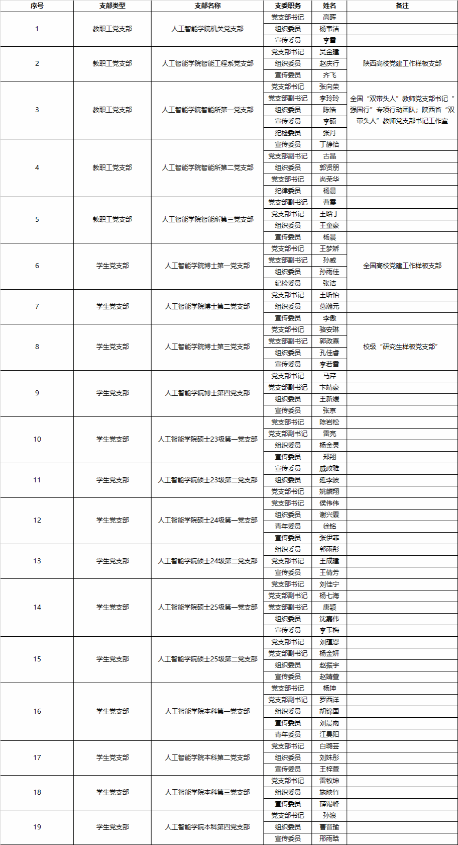
2026年国际足联世界杯各支部委员会人员名单